Le bois est un matériau fascinant, utilisé depuis des millénaires pour diverses applications, allant de la construction à l’ameublement en passant par la fabrication d’outils. C’est un matériau naturel, renouvelable et biodégradable, ce qui en fait un choix privilégié pour les artisans et les constructeurs soucieux de l’environnement. Dans cet article, nous allons explorer en détail les différentes caractéristiques du bois, ses types variés et ses nombreuses applications, tout en fournissant des informations précieuses pour les professionnels du secteur du bois et du travail artisanal.
Comprendre le bois

Le bois provient des troncs et branches des arbres, et il est essentiel d’en connaître les propriétés pour bien l’utiliser. En effet, le bois est un matériau vivant qui réagit aux changements environnementaux, notamment l’humidité, la température et la pression. Par exemple, le bois dur a tendance à gonfler lorsqu’il est exposé à l’humidité et à se rétracter durant les mois secs. Ces variations dimensionnelles doivent être soigneusement prises en compte lors de la fabrication de produits comme des portes, des fenêtres ou des tiroirs, car elles peuvent nuire à leur bon fonctionnement et à leur durabilité.
En plus de l’humidité, le bois peut aussi être affecté par des agressions biologiques telles que les insectes xylophages et les champignons. Pour garantir une longue durée de vie au bois, il est souvent nécessaire d’appliquer des traitements spécifiques qui protègent contre ces agents dégradants.
Les deux grandes familles de bois
Le bois peut être classé en deux grandes catégories : les bois durs et les bois mous. Cette distinction est basée sur la botanique, la densité et la dureté du bois.
Bois durs

Les bois durs proviennent d’arbres à feuilles larges (appelés feuillus) et à fleurs. Parmi eux, on retrouve des essences telles que le teck, le bois de rose, le chêne, l’érable ou encore le noyer. Ces bois sont généralement plus durs, plus résistants et plus lourds, ce qui les rend idéaux pour des applications nécessitant une grande durabilité, comme la fabrication d’armoires, de parquets ou d’outils robustes.
Un exemple pertinent est le bois de rose, reconnu non seulement pour sa capacité à délivrer des coups puissants avec peu d’efforts (qualité très appréciée dans la fabrication d’outils tels que les manches de marteaux), mais aussi pour sa beauté naturelle et sa résistance au temps, y compris dans des environnements humides.

Bois mous

En revanche, les bois mous proviennent principalement d’arbres à aiguilles (conifères) comme le pin, le sapin ou le cèdre. Ces bois sont généralement plus légers, moins denses et plus faciles à travailler tant à la main qu’à la machine. Leur croissance rapide et leur coût abordable en font des matériaux très populaires dans la construction, notamment pour les charpentes, les ossatures ou les meubles simples.
Par exemple, le bois de pin est souvent utilisé pour des projets à grande échelle grâce à sa facilité de manipulation, sa disponibilité abondante et son odeur agréable qui peut également repousser certains insectes.
Tableau 1 : comparaison des bois durs et bois mous
| Caractéristique | Bois Durs | Bois Mous |
|---|---|---|
| Origine | Feuillus (feuilles larges) | Conifères (aiguilles) |
| Densité | Élevée | Faible à moyenne |
| Durabilité | Élevée | Moyenne |
| Coût | Plus élevé | Moins élevé |
| Usage principal | Meubles haut de gamme, outils | Construction, charpente |
| Exemples | Teck, chêne, noyer | Pin, sapin, cèdre |
Autres types de bois

Outre les bois durs et mous naturels, il existe également des matériaux dérivés comme le contreplaqué et le MDF (panneaux de fibres de bois agglomérées). Ces matériaux sont fabriqués industriellement en collant plusieurs couches ou fibres de bois sous pression avec des adhésifs.
Le contreplaqué est constitué de fines feuilles de bois collées en couches croisées, ce qui lui confère une grande stabilité dimensionnelle et une bonne résistance mécanique. Il est souvent utilisé dans la fabrication de meubles économiques ou dans la construction.
Le MDF est fabriqué à partir de fibres de bois compressées avec des résines synthétiques. Il offre une surface très lisse idéale pour la peinture ou les revêtements décoratifs. Cependant, il est moins résistant à l’humidité que le contreplaqué.
Ces matériaux sont souvent choisis pour leur coût réduit et leur facilité d’usinage, bien qu’ils soient moins esthétiques que le bois massif.
Propriétés physiques du bois

Les propriétés physiques du bois jouent un rôle crucial dans son utilisation et son comportement.
Le fil du bois
Le fil du bois correspond à l’orientation naturelle des fibres dans le tronc. Travailler dans le sens du fil permet d’obtenir une surface plus lisse et empêche les éclats lors de la coupe ou du rabotage. En revanche, couper perpendiculairement au fil peut fragiliser la pièce et provoquer des échardes ou fissures.
Les nœuds et imperfections
Les nœuds sont des zones où une branche s’est développée. Ils représentent des ruptures dans la continuité des fibres et peuvent affaiblir la solidité du bois. Cependant, ils sont souvent appréciés en menuiserie décorative car ils apportent une touche naturelle unique à chaque pièce.
La résistance mécanique
La résistance mécanique du bois dépend de plusieurs facteurs : son espèce, son taux d’humidité, sa densité et son âge. Par exemple, un bois bien sec aura une résistance beaucoup plus élevée qu’un bois vert ou humide.
Tableau 2 : propriétés physiques clés selon quelques essences
| Essence | Densité (kg/m³) | Dureté (Brinell) | Résistance à la flexion (MPa) | Usage courant |
|---|---|---|---|---|
| Teck | 650 – 750 | 4.5 | 100 – 120 | Meubles extérieurs |
| Pin | 400 – 550 | 2.5 | 50 – 70 | Charpente, menuiserie |
| Chêne | 700 – 800 | 3.7 | 90 – 110 | Parquets, meubles solides |
| MDF | ~700 | 1.5 | 30 – 40 | Mobilier intérieur peint |

Choisir le bon bois pour votre projet
Le choix du type de bois dépend largement du projet envisagé ainsi que de l’environnement dans lequel l’objet sera utilisé. Il est essentiel de considérer les caractéristiques spécifiques de chaque type de bois pour s’assurer qu’il répond aux besoins du projet.
Critères de choix
- Durabilité : Pour un usage extérieur ou dans un environnement humide, choisir un bois naturellement résistant ou traité.
- Esthétique : Certaines essences offrent des grains ou couleurs spécifiques qui valorisent l’objet fini.
- Travailabilité : Pour un artisan débutant ou un projet nécessitant beaucoup d’ajustements, privilégier un bois facile à travailler.
- Coût : Le budget disponible influence souvent le choix entre bois massif et matériaux dérivés comme le MDF.
- Impact environnemental : Opter pour des essences locales ou certifiées FSC garantit une gestion durable des forêts.
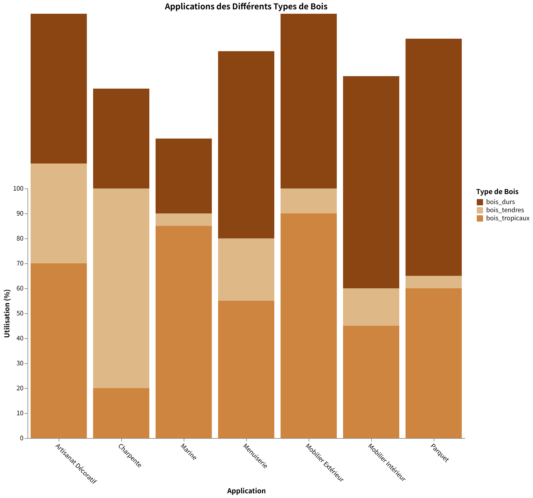
Exemples d’utilisations courantes
| Type de Bois | Application Type | Raisons du choix |
|---|---|---|
| Bois de Teck | Meubles d’extérieur | Résistance naturelle à l’humidité et aux insectes |
| Bois de Cèdre | Construction de cabanes ou abris | Légèreté, odeur répulsive contre insectes |
| Contreplaqué | Meubles temporaires ou bricolage | Économique et robuste |
| Bois de Noyer | Meubles haut de gamme | Esthétique raffinée et grande solidité |

Entretien et protection du bois

Pour prolonger la durée de vie du bois, il est indispensable d’en assurer un entretien régulier, soigneusement adapté au type de bois utilisé et à son usage spécifique, qu’il soit intérieur ou extérieur.
Traitements préventifs
L’application régulière de produits protecteurs est essentielle pour préserver le bois des agressions extérieures telles que l’humidité, les rayons UV et les insectes. Parmi ces traitements :
- Huiles naturelles : L’huile de lin est l’une des plus utilisées. Elle pénètre profondément dans les fibres du bois, nourrissant la matière et renforçant sa résistance contre l’eau. Il est recommandé de renouveler l’application une à deux fois par an, selon l’exposition du bois. D’autres huiles comme l’huile de teck ou l’huile de tung peuvent également être utilisées pour des bois spécifiques.
- Vernis : Le vernis forme une couche protectrice en surface, qui protège le bois contre les rayures, l’humidité et les UV. Le choix du vernis dépend de la finition recherchée (mat, satiné ou brillant). Pour les surfaces extérieures, privilégiez des vernis spécialement formulés pour résister aux intempéries.
- Lasures et saturateurs : Ces produits permettent de protéger sans masquer le grain naturel du bois. Ils contiennent souvent des agents fongicides et insecticides, ce qui est particulièrement utile pour les bois extérieurs exposés aux champignons et aux insectes xylophages. La lasure doit être renouvelée tous les 2 à 3 ans selon l’intensité des conditions climatiques.
Réparations
À mesure que le bois vieillit, il peut développer des imperfections telles que des éclats, des fissures ou des rayures superficielles. Pour maintenir son aspect et sa solidité :
- Ponçage régulier : Utiliser un papier abrasif à grain fin (120-180) pour lisser les surfaces abîmées. Le ponçage doit être fait dans le sens du fil du bois pour éviter d’aggraver les éclats. Après ponçage, il est conseillé d’appliquer un traitement protecteur pour refermer les pores ouverts.
- Remplissage des fissures : Pour les fissures plus importantes, utiliser un mastic à bois adapté à la couleur de l’essence. Cela permet de renforcer la structure tout en améliorant l’esthétique.
- Réparation des nœuds tombants : Parfois, certains nœuds peuvent se détacher avec le temps. Il faut alors reboucher les cavités avec un enduit ou une résine spéciale avant de poncer.
Stockage adéquat
Le stockage joue un rôle crucial dans la conservation du bois avant son utilisation ou pendant sa durée de vie.
- Lieu sec et bien ventilé : Il est essentiel de stocker le bois dans un endroit où l’air circule librement afin d’éviter l’accumulation d’humidité qui favorise la formation de moisissures et de champignons. Un espace mal aéré peut aussi provoquer un gonflement ou une déformation du bois.
- Éviter le contact direct avec le sol : Le bois doit être surélevé à l’aide de cales ou d’un support pour éviter l’absorption d’humidité par capillarité.
- Protection contre les rayons du soleil : Pour les bois stockés à l’extérieur, il est recommandé de couvrir avec une bâche perméable à l’air pour limiter le dessèchement excessif et la décoloration due aux UV.
- Contrôle régulier de l’humidité : Utiliser un humidimètre pour vérifier que le taux d’humidité du bois reste stable, idéalement entre 8% et 12% pour le bois destiné aux meubles ou aux structures intérieures.
En appliquant ces conseils d’entretien et de protection adaptés à chaque type de bois, vous assurerez la longévité et la beauté de vos ouvrages en bois, qu’ils soient destinés à un usage intérieur ou extérieur.
Innovations dans l’utilisation du bois
Le secteur du bois connaît aujourd’hui plusieurs innovations majeures qui améliorent considérablement ses performances, sa durabilité et son impact environnemental. Ces avancées permettent d’élargir les possibilités d’utilisation du bois, tout en répondant aux exigences croissantes en matière de construction durable et d’écoconception.
Bois thermo-traité
Le bois thermo-traité est obtenu par un procédé de chauffe du bois à haute température (entre 180 et 220 °C) en l’absence quasi-totale d’oxygène. Ce traitement modifie la structure chimique et physique des fibres de bois sans recours à des produits chimiques toxiques. Les avantages sont multiples :
- Durabilité accrue : Le bois devient beaucoup plus résistant à la dégradation par les champignons et insectes xylophages, ce qui est particulièrement utile pour les applications extérieures ou en milieu humide.
- Stabilité dimensionnelle : Le bois thermo-traité présente une meilleure résistance au gonflement et au retrait lié aux variations d’humidité, réduisant ainsi les risques de déformation.
- Esthétique améliorée : Ce traitement fonce naturellement la couleur du bois, lui donnant une teinte chaude allant du brun clair au chocolat, très appréciée en architecture et mobilier design.
- Respect de l’environnement : Sans ajout de produits chimiques, ce procédé est écologique et respecte la santé des utilisateurs.
Sources : Thermowood
Bois lamellé-collé
Le bois lamellé-collé est un matériau composite fabriqué en collant plusieurs couches de lamelles de bois massif, généralement de résineux, avec des adhésifs résistants. Cette technique permet de créer des éléments longs, solides et légers utilisés dans la construction moderne. Ses caractéristiques clés sont :
- Grande résistance mécanique : Le collage croisé des fibres confère une excellente capacité portante, idéale pour les poutres, arches ou structures courbes.
- Flexibilité architecturale : Le bois lamellé-collé peut être cintré ou moulé selon les besoins, ouvrant la voie à des formes innovantes et esthétiques.
- Durabilité et stabilité : Moins sujet au gauchissement ou fendillement que le bois massif traditionnel.
- Utilisation dans des ouvrages ambitieux : Ponts, gymnases, toitures complexes et bâtiments publics profitent de cette technologie pour allier légèreté et robustesse.
Sources : France Bois Forêt
Bois recyclé et éco-conception
L’utilisation du bois recyclé se développe fortement dans une logique d’économie circulaire et d’éco-conception. Il s’agit de récupérer du bois issu de constructions anciennes, déchets industriels ou palettes usagées pour lui donner une nouvelle vie. Les bénéfices sont nombreux :
- Réduction de l’impact environnemental : Limitation du recours au bois neuf et réduction des déchets.
- Valeur esthétique unique : Le bois recyclé possède souvent une patine authentique, avec des marques du temps qui le rendent particulièrement recherché pour le mobilier ou la décoration.
- Innovation dans les procédés de transformation : Des techniques modernes permettent de reconditionner le bois usagé en panneaux, briques ou même panneaux isolants, élargissant son champ d’application.
- Conformité aux normes environnementales : Le bois recyclé est souvent certifié pour garantir une traçabilité et un usage responsable.
Sources : Ademe
Tableau 3 : Innovations majeures dans le secteur du bois
| Innovation | Description | Avantages principaux | Applications typiques |
|---|---|---|---|
| Bois thermo-traité | Chauffage à haute température sans oxygène | Durabilité, stabilité, esthétique | Bardages extérieurs, terrasses, mobilier |
| Bois lamellé-collé | Collage de lamelles de bois pour former des poutres | Résistance mécanique, flexibilité architecturale | Charpentes, ponts, structures courbes |
| Bois recyclé | Réemploi de bois usagé transformé | Écologie, esthétique unique, économie | Mobilier design, panneaux décoratifs, isolants |
Ces innovations montrent clairement que le bois reste un matériau en constante évolution, capable de répondre aux défis techniques et environnementaux actuels tout en conservant son charme naturel. Pour les artisans comme pour les architectes, ces nouvelles technologies offrent des possibilités inédites pour réaliser des projets durables, innovants et esthétiques.
En conclusion
En somme, le bois est un matériau polyvalent qui offre d’innombrables possibilités dans le domaine de l’artisanat et de la construction. Que vous soyez un professionnel à la recherche de matériaux de qualité ou un passionné de bricolage souhaitant réaliser des projets durables et esthétiques, comprendre les caractéristiques et les différents types de bois vous permettra de faire un choix éclairé.
N’oubliez pas que le choix du bois est crucial et doit être adapté à votre projet spécifique. Prenez donc le temps nécessaire pour considérer ses propriétés physiques, son origine ainsi que son coût afin de garantir la réussite de vos créations.
Pour en savoir plus sur nos produits en bois personnalisables ou bénéficier de conseils techniques adaptés à votre projet, n’hésitez pas à nous contacter ou à visiter notre site web. Découvrez dès aujourd’hui toute la beauté et la richesse qu’offre le bois dans vos projets !
FAQ sur le bois
Quelle est la différence entre bois dur et bois mou ?
Les bois durs proviennent d’arbres à feuilles larges (feuillus), sont généralement plus résistants et lourds. Les bois mous viennent principalement des conifères, ils sont plus légers et faciles à travailler.
Comment éviter que le bois ne se déforme ?
Pour prévenir la déformation, il est conseillé de traiter le bois avec des conservateurs adaptés et de contrôler son taux d’humidité lors du stockage. Un séchage lent et uniforme limite aussi les risques.
Quels sont les meilleurs types de bois pour l’extérieur ?
Le teck et le cèdre sont souvent recommandés pour leurs résistances naturelles à l’humidité et aux attaques biologiques comme les insectes.
Peut-on utiliser le MDF pour des meubles humides ?
Non, le MDF a une faible résistance à l’humidité ; il est préférable d’utiliser du contreplaqué ou du bois massif traité pour ces usages.















































